76. 资产定价:有限状态模型#
“对几何级数的一点了解就能走很远” – Robert E. Lucas, Jr.
“资产定价就是关于协方差” – Lars Peter Hansen
除了Anaconda中已有的库外,本讲座还需要以下库:
!pip install quantecon
76.1. 概述#
资产是对一个或多个未来收益的权利要求。
资产的现货价格主要取决于
预期收入流
风险态度
时间偏好率
在本讲中,我们将探讨一些标准定价模型和股息流规格。
我们研究在这些不同情况下价格和股息-价格比率如何变化。
我们还将研究创建和定价重新打包收入流的衍生资产。
本讲的主要工具包括
马尔可夫过程
预测马尔可夫状态函数未来值的公式
预测马尔可夫状态未来值折现总和的公式
让我们从一些导入开始:
import matplotlib.pyplot as plt
import matplotlib as mpl
FONTPATH = "fonts/SourceHanSerifSC-SemiBold.otf"
mpl.font_manager.fontManager.addfont(FONTPATH)
plt.rcParams['font.family'] = ['Source Han Serif SC']
plt.rcParams["figure.figsize"] = (11, 5) #set default figure size
import numpy as np
import quantecon as qe
from numpy.linalg import eigvals, solve
76.2. 定价模型#
设 \(\{d_t\}_{t \geq 0}\) 为股息流
时间\(t\)的含息资产是对股息流 \(d_t, d_{t+1}, \ldots\) 的索取权。
时间\(t\)的除息资产是对股息流 \(d_{t+1}, d_{t+2}, \ldots\) 的索取权。
让我们看看在除息合约下资产价格应该满足的一些等式 (我们将在练习中考虑含息定价)。
76.2.1. 风险中性定价#
我们的第一个场景是风险中性定价。
设 \(\beta = 1/(1+\rho)\) 为跨期贴现因子,其中 \(\rho\) 是个体对未来进行贴现的利率。
对于定价一单位除息资产的基本风险中性资产定价方程是
这是一个简单的”成本等于预期收益”关系。
这里 \({\mathbb E}_t [y]\) 表示基于 \(t\) 时刻可获得信息所做出的 \(y\) 的最佳预测。
更准确地说,\({\mathbb E}_t [y]\) 是基于 \(t\) 时刻可获得信息的 \(y\) 的数学期望。
76.2.2. 随机贴现因子定价#
如果由于某些原因,交易者根据不同的世界状态对收益进行不同的贴现,会发生什么情况?
Michael Harrison 和 David Kreps [Harrison and Kreps, 1979] 以及 Lars Peter Hansen 和 Scott Richard [Hansen and Richard, 1987] 证明,在相当一般的情况下,除息资产的价格满足:
其中 \(m_{t+1}\) 是某个随机贴现因子。
这里,(76.1) 中的固定贴现因子 \(\beta\) 已被随机变量 \(m_{t+1}\) 替代。
未来预期收益的评估现在取决于 \(m_{t+1}\) 的统计特性。
随机贴现因子可以被设定来体现这样一个概念:在经济状况不佳时能提供良好回报的资产,比起其他回报表现不具有这种特性的资产,会被赋予更高的价值。
这是因为这类资产在资金最为急需时能提供良好回报。
我们将在下面给出随机贴现因子建模的一些例子。
76.2.3. 资产定价与协方差#
回想一下,根据条件协方差 \({\rm cov}_t (x_{t+1}, y_{t+1})\) 的定义,我们有:
如果我们将这个定义应用到资产定价方程 (76.2),我们得到:
将方程 (76.4) 视为方程 (76.1) 的推广是很有用的。
在方程 (76.1) 中,随机贴现因子 \(m_{t+1} = \beta\),是一个常数。
在方程 (76.1) 中,协方差项 \({\rm cov}_t (m_{t+1}, d_{t+1}+ p_{t+1})\) 为零,因为 \(m_{t+1} = \beta\)。
在方程 (76.1) 中,\({\mathbb E}_t m_{t+1}\) 可以被解释为一期无风险总利率的倒数。
当 \(m_{t+1}\) 与支付 \(p_{t+1} + d_{t+1}\) 的负相关性更强时,资产价格会更低。
方程 (76.4) 表明随机贴现因子与一期支付 \(d_{t+1} + p_{t+1}\) 的协方差是决定价格 \(p_t\) 的重要因素。
我们将在本讲座后面以及后续讲座中给出一些已提出的随机贴现因子模型的例子。
76.2.4. 价格-股息比率#
除了价格之外,另一个值得关注的量是价格-股息比率 \(v_t := p_t / d_t\)。
让我们写下这个比率应该满足的表达式。
我们可以将(76.2)的两边都除以\(d_t\),得到
下面我们将讨论这个方程的含义。
76.3. 风险中性情况下的价格#
基于上述模型,我们能对价格动态说些什么?
这个问题的答案取决于
我们为股息指定的过程
随机贴现因子及其与股息的相关性
现在我们将研究随机贴现因子为常数的风险中性情况。
我们将重点关注资产价格如何依赖于股息过程。
76.3.1. 示例1:常数股息#
最简单的情况是风险中性价格下的常数、非随机股息流\(d_t = d > 0\)。
从(76.1)中移除期望并向前迭代得到
如果 \(\lim_{k \rightarrow + \infty} \beta^{k-1} p_{t+k} = 0\),这个序列收敛于
这是常数股息情况下的均衡价格。
事实上,简单的代数运算表明,对所有 \(t\) 设定 \(p_t = \bar p\) 满足差分方程 \(p_t = \beta (d + p_{t+1})\)。
76.3.2. 示例2:具有确定性增长路径的股息#
考虑一个增长的、非随机的股息过程 \(d_{t+1} = g d_t\),其中 \(0 < g \beta < 1\)。
虽然当股息随时间增长时价格通常不是常数,但价格-股息比可以是常数。
如果我们猜测这一点,将 \(v_t = v\) 代入 (76.5) 以及我们的其他假设,我们得到 \(v = \beta g (1 + v)\)。
由于 \(\beta g < 1\),我们有一个唯一的正解:
价格则为
如果在这个例子中,我们取 \(g = 1+\kappa\) 并令 \(\rho := 1/\beta - 1\),则价格变为
这被称为戈登公式。
76.3.3. 例3:马尔可夫增长,风险中性定价#
接下来,我们考虑一个股息过程
随机增长因子 \(\{g_t\}\) 由下式给出
其中
\(\{X_t\}\) 是一个有限马尔可夫链,具有状态空间 \(S\) 和 转移概率
\[ P(x, y) := \mathbb P \{ X_{t+1} = y \,|\, X_t = x \} \qquad (x, y \in S) \]\(g\) 是定义在 \(S\) 上的一个非负值函数
你可以将
\(S\) 理解为 \(n\) 个可能的”世界状态”,\(X_t\) 为 当前状态。
\(g\) 理解为一个函数,它将给定状态 \(X_t\) 映射到股息 增长因子 \(g_t = g(X_t)\)。
\(\ln g_t = \ln (d_{t+1} / d_t)\) 是股息的增长率。
(关于有限马尔可夫链的符号和理论复习,请参见本讲座)
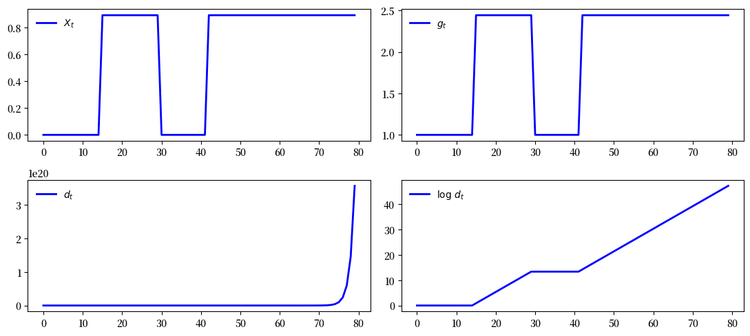
下图显示了一个模拟,其中
\(\{X_t\}\) 作为使用陶臣方法生成的离散化AR1过程演变。
\(g_t = \exp(X_t)\),因此 \(\ln g_t = X_t\) 是增长率。
n = 7
mc = qe.tauchen(n, 0.96, 0.25)
sim_length = 80
x_series = mc.simulate(sim_length, init=np.median(mc.state_values))
g_series = np.exp(x_series)
d_series = np.cumprod(g_series) # 假设 d_0 = 1
series = [x_series, g_series, d_series, np.log(d_series)]
labels = ['$X_t$', '$g_t$', '$d_t$', r'$\log \, d_t$']
fig, axes = plt.subplots(2, 2)
for ax, s, label in zip(axes.flatten(), series, labels):
ax.plot(s, 'b-', lw=2, label=label)
ax.legend(loc='upper left', frameon=False)
plt.tight_layout()
plt.show()
76.3.3.1. 定价公式#
在这种情况下,让我们从确定性增长的情况来调整我们的分析,以获得资产价格。
在那种情况下,我们发现 \(v\) 是常数。
这鼓励我们猜测,在当前情况下,\(v_t\) 是状态 \(X_t\) 的固定函数。
我们寻找一个函数 \(v\),使得价格-股息比满足 \(v_t = v(X_t)\)。
我们可以将这个猜测代入 (76.5) 得到
如果我们以 \(X_t = x\) 为条件,这变成
或
假设有 \(n\) 个可能的状态 \(x_1, \ldots, x_n\)。
我们可以将 (76.8) 看作 \(n\) 个堆叠的方程,每个状态对应一个方程,并以矩阵形式写成
这里
\(v\) 被理解为列向量 \((v(x_1), \ldots, v(x_n))'\)。
\(K\) 是矩阵 \((K(x_i, x_j))_{1 \leq i, j \leq n}\)。
\({\mathbb 1}\) 是一个全为1的列向量。
方程 (76.9) 何时有唯一解?
根据诺伊曼级数引理和盖尔范德公式,当 \(\beta K\) 的谱半径严格小于1时,方程 (76.9) 有唯一解。
因此,我们要求 \(K\) 的特征值的模严格小于 \(\beta^{-1}\)。
解为
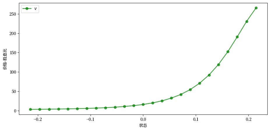
76.3.4. 代码#
让我们计算并绘制某些参数下的价格-股息比。
和之前一样,我们将生成 \(\{X_t\}\) 作为一个离散化的AR1过程,并设定 \(g_t = \exp(X_t)\)。
这是代码,包括对谱半径条件的测试
n = 25 # 状态空间大小
β = 0.9
mc = qe.tauchen(n, 0.96, 0.02)
K = mc.P * np.exp(mc.state_values)
warning_message = "谱半径条件不满足"
assert np.max(np.abs(eigvals(K))) < 1 / β, warning_message
I = np.identity(n)
v = solve(I - β * K, β * K @ np.ones(n))
fig, ax = plt.subplots()
ax.plot(mc.state_values, v, 'g-o', lw=2, alpha=0.7, label='$v$')
ax.set_ylabel("价格-股息比")
ax.set_xlabel("状态")
ax.legend(loc='upper left')
plt.show()
为什么价格-股息比率随状态增加?
原因是这个马尔可夫过程具有正相关性,所以当前的高状态预示着未来的高状态。
此外,股息增长随状态增加。
对未来高股息增长的预期导致了高价格-股息比率。
76.4. 风险规避与资产价格#
现在让我们来看看当个体具有风险规避性时的情况。
我们将对几种不同的资产定价,包括:
禀赋流
永续债券(19世纪英国政府发行的一种债券)
永续债券的看涨期权
76.4.1. 卢卡斯树模型定价#
让我们从Robert E. Lucas, Jr.的著名资产定价模型的一个版本开始 [Lucas, 1978]。
卢卡斯考虑了一个具有以下特征的抽象纯交换经济:
一种不可储存的消费品
一个控制每期可获得的消费品总量的马尔可夫过程
一棵单独的树,每个时期产出的果实等于经济体可用的总消费量
一个股份的竞争市场,股份所有者有权获得相应比例的股息流,即树产出的果实流
一个代表性消费者在竞争均衡中
每期消费经济体的全部禀赋
拥有树的100%股份
如[Lucas, 1978]所述,我们假设随机贴现因子的形式为
其中\(u\)是一个凹效用函数,\(c_t\)是代表性消费者在\(t\)时期的消费。
(这个表达式的推导在后面的讲座中给出)
假设存在一个遵循增长过程(76.7)的禀赋。
定价的资产是对禀赋过程的一种权利要求,即上述所描述的卢卡斯树。
根据[Lucas, 1978],我们假设在均衡状态下,代表性消费者的消费等于总体禀赋,因此对所有时间\(t\)都有\(d_t = c_t\)。
对于效用函数,我们采用常相对风险厌恶(CRRA)规范
当\(\gamma =1\)时,我们令\(u(c) = \ln c\)。
将CRRA规范代入(76.11)并使用\(c_t = d_t\)得到
将此代入(76.5)得到价格-股息比率公式
在\(X_t = x\)的条件下,我们可以将其写作
如果我们令
那么我们可以将方程 (76.14) 用向量形式重写为
假设 \(J\) 的谱半径严格小于 \(\beta^{-1}\),这个方程有唯一解
我们将定义一个函数 tree_price 来计算 \(v\),其参数存储在 AssetPriceModel 类中
class AssetPriceModel:
"""
一个存储资产定价模型基本要素的类。
参数
----------
β : 标量, float
贴现因子
mc : MarkovChain
包含状态过程的转移矩阵和状态值集合
γ : 标量(float)
风险厌恶系数
g : 可调用对象
将状态映射到增长率的函数
"""
def __init__(self, β=0.96, mc=None, γ=2.0, g=np.exp):
self.β, self.γ = β, γ
self.g = g
# Markov链的默认过程
if mc is None:
self.ρ = 0.9
self.σ = 0.02
self.mc = qe.tauchen(n, self.ρ, self.σ)
else:
self.mc = mc
self.n = self.mc.P.shape[0]
def test_stability(self, Q):
"""
对给定矩阵Q进行稳定性测试。
"""
sr = np.max(np.abs(eigvals(Q)))
if not sr < 1 / self.β:
msg = f"谱半径条件失败,半径 = {sr}"
raise ValueError(msg)
def tree_price(ap):
"""
计算卢卡斯树的价格-股息比率。
参数
----------
ap: AssetPriceModel
包含基本要素的AssetPriceModel实例
返回值
-------
v : array_like(float)
卢卡斯树价格-股息比率
"""
# 简化名称,设置矩阵
β, γ, P, y = ap.β, ap.γ, ap.mc.P, ap.mc.state_values
J = P * ap.g(y)**(1 - γ)
# 确保存在唯一解
ap.test_stability(J)
# 计算v
I = np.identity(ap.n)
Ones = np.ones(ap.n)
v = solve(I - β * J, β * J @ Ones)
return v
这是在几个不同 \(\gamma\) 值下 \(v\) 作为状态函数的图表, 其中包含一个正相关的马尔可夫过程和 \(g(x) = \exp(x)\)
γs = [1.2, 1.4, 1.6, 1.8, 2.0]
ap = AssetPriceModel()
states = ap.mc.state_values
fig, ax = plt.subplots()
for γ in γs:
ap.γ = γ
v = tree_price(ap)
ax.plot(states, v, lw=2, alpha=0.6, label=rf"$\gamma = {γ}$")
ax.set_title('价格-股息比作为状态的函数')
ax.set_ylabel("价格-股息比")
ax.set_xlabel("状态")
ax.legend(loc='upper right')
plt.show()
注意在每种情况下\(v\)都是递减的。
这是因为,在状态过程正相关的情况下,较高的状态意味着未来消费增长更高。
根据随机贴现因子(76.13),更高的增长会降低贴现因子,从而降低对未来股息的权重。
76.4.1.1. 特殊情况#
在特殊情况\(\gamma =1\)时,我们有\(J = P\)。
回想一下对所有\(i\)都有\(P^i {\mathbb 1} = {\mathbb 1}\),并应用诺伊曼几何级数引理,我们得到
因此,在对数效用偏好下,卢卡斯树的价格-股息比是常数。
另外,如果\(\gamma = 0\),那么\(J = K\),我们就得到了风险中性解(76.10)。
这是符合预期的,因为\(\gamma = 0\)意味着\(u(c) = c\)(因此个体是风险中性的)。
76.4.2. 无风险永续债券#
考虑相同的纯交换代表性个体经济。
一个无风险永续债承诺每期支付固定金额 \(\zeta> 0\)。
沿用之前的符号,让 \(p_t\) 现在表示除息永续债权的价格。
在t期末,除息永续债权的所有者有权获得:
第t+1期的 \(\zeta\) 收益,以及
下一期以 \(p_{t+1}\) 价格出售该权益的权利
价格满足(76.2),其中 \(d_t = \zeta\),即
结合随机贴现因子(76.13),这变成
假设解的形式为 \(p_t = p(X_t)\) 并且在条件 \(X_t = x\) 下,我们得到
令 \(M(x, y) = P(x, y) g(y)^{-\gamma}\) 并用向量符号重写,得到解
上述公式在函数consol_price中实现。
def consol_price(ap, ζ):
"""
计算支付额为ζ的永续债券价格
参数
----------
ap: AssetPriceModel
包含基本要素的AssetPriceModel实例
ζ : 标量(float)
永续债券的票息
返回值
-------
p : array_like(float)
永续债券价格
"""
# 简化名称,设置矩阵
β, γ, P, y = ap.β, ap.γ, ap.mc.P, ap.mc.state_values
M = P * ap.g(y)**(- γ)
# 确保存在唯一解
ap.test_stability(M)
# 计算价格
I = np.identity(ap.n)
Ones = np.ones(ap.n)
p = solve(I - β * M, β * ζ * M @ Ones)
return p
76.4.3. 定价购买永续债券的期权#
让我们现在来为不同期限的期权定价。
我们将研究一个期权,它赋予持有人以价格\(p_S\)购买永续债券的权利。
76.4.3.1. 无限期限看涨期权#
我们要为以价格\(p_S\)购买永续债券的无限期限期权定价。
该期权赋予持有人在期初两个选择:
现在以价格\(p_S\)购买债券,或者
现在不行使购买资产的期权,但保留以后行使的权利
因此,持有人要么现在行使期权,要么选择不行使并等到下一期。
这被称为具有执行价格\(p_S\)的无限期限看涨期权。
期权持有人有权在任何期初以价格\(p_S\)购买永续债券,此时息票已支付给债券的前任持有人。
经济基本面与上述相同,包括随机贴现因子和消费过程。
设 \(w(X_t, p_S)\) 为在已知时间 \(t\) 的增长状态为 \(X_t\) 但在所有者决定是否在时间 \(t\)(即今天)行使期权之前的期权价值。
回顾 \(p(X_t)\) 是初始增长状态为 \(X_t\) 时永续债券的价值,期权价值满足
右边的第一项是等待的价值,而第二项是立即行使的价值。
我们也可以将其写作
其中 \(M(x, y) = P(x, y) g(y)^{-\gamma}\) 且 \(w\) 作为向量
对于值 \((w(x_i), p_S)_{i = 1}^n\),我们可以将 (76.18) 表示为非线性向量方程
为了求解 (76.19),构造一个算子 \(T\),将向量 \(w\) 映射到向量 \(Tw\),通过
从某个初始 \(w\) 开始,通过 \(T\) 迭代直至收敛。
我们可以通过以下 call_option 函数找到解
def call_option(ap, ζ, p_s, ϵ=1e-7):
"""
计算永续债券看涨期权的价格。
参数
----------
ap: AssetPriceModel
包含基本要素的AssetPriceModel实例
ζ : scalar(float)
永续债券的息票
p_s : scalar(float)
执行价格
ϵ : scalar(float), optional(default=1e-8)
无限期问题的容差
返回值
-------
w : array_like(float)
无限期看涨期权价格
"""
# 简化名称,设置矩阵
β, γ, P, y = ap.β, ap.γ, ap.mc.P, ap.mc.state_values
M = P * ap.g(y)**(- γ)
# 确保存在唯一的永续债券价格
ap.test_stability(M)
# 计算期权价格
p = consol_price(ap, ζ)
w = np.zeros(ap.n)
error = ϵ + 1
while error > ϵ:
# 在列之间取最大值
w_new = np.maximum(β * M @ w, p - p_s)
# 找到每个分量的最大差异并更新
error = np.amax(np.abs(w - w_new))
w = w_new
return w
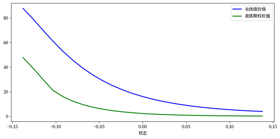
当 \(P_S = 40\) 时,这是 \(w\) 与永续债价格的对比图
ap = AssetPriceModel(β=0.9)
ζ = 1.0
strike_price = 40
x = ap.mc.state_values
p = consol_price(ap, ζ)
w = call_option(ap, ζ, strike_price)
fig, ax = plt.subplots()
ax.plot(x, p, 'b-', lw=2, label='永续债价格')
ax.plot(x, w, 'g-', lw=2, label='看涨期权价值')
ax.set_xlabel("状态")
ax.legend(loc='upper right')
plt.show()
在马尔可夫增长状态的高值时,期权的价值接近于零。
尽管马尔可夫链是不可约的,且低状态(永续债券价格较高的状态)会被反复访问,但情况仍是如此。
在马尔可夫增长状态较高时估值较低的原因是\(\beta=0.9\),因此未来收益被大幅贴现。
76.4.4. 无风险利率#
让我们看看不同期限的无风险利率。
76.4.4.1. 一期无风险利率#
如前所述,随机贴现因子是\(m_{t+1} = \beta g_{t+1}^{-\gamma}\)。
因此,在状态\(x\)下的无风险利率\(R_t\)的倒数\(R_t^{-1}\)为
我们可以将其写作
其中\(m_1\)的第\(i\)个元素是状态\(x_i\)中一期无风险总利率的倒数。
76.4.4.2. 其他期限#
设 \(m_j\) 为一个 \(n \times 1\) 向量,其第 \(i\) 个分量是状态 \(x_i\) 下第 \(j\) 期无风险利率总收益的倒数。
则 \(m_1 = \beta M\),且对于 \(j \geq 1\),有 \(m_{j+1} = M m_j\)。
76.5. 练习#
练习 76.1
在讲座中,我们考虑了除息资产。
含息资产是对收益流 \(d_t, d_{t+1}, \ldots\) 的一种权利要求。
根据(76.1),请找出一单位含息资产的风险中性资产定价方程。
当股息流为常数且非随机时,即 \(d_t = d > 0\),含息资产的均衡价格是多少?
当股息流以非随机方式增长,即 \(d_t = g d_t\) 且 \(0 < g \beta < 1\) 时,含息资产的均衡价格是多少?
解答 练习 76.1
对于含息资产,基本的风险中性资产定价方程是
当股息为常数时,均衡价格为
对于一个增长的、非随机的股息过程,均衡价格为
练习 76.2
考虑以下基本要素
n = 5 # 状态空间大小
P = np.full((n, n), 0.0125)
P[range(n), range(n)] += 1 - P.sum(1)
# 马尔可夫链的状态值
s = np.array([0.95, 0.975, 1.0, 1.025, 1.05])
γ = 2.0
β = 0.94
令 \(g\) 由 \(g(x) = x\) 定义(即 \(g\) 是恒等映射)。
计算 Lucas 树的价格。
对以下情况进行相同的计算:
当 \(\zeta = 1\) 时无风险永续债券的价格
当 \(\zeta = 1\) 且 \(p_S = 150.0\) 时永续债券的看涨期权价格
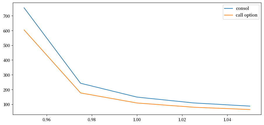
解答 练习 76.2
首先,让我们输入参数:
n = 5
P = np.full((n, n), 0.0125)
P[range(n), range(n)] += 1 - P.sum(1)
s = np.array([0.95, 0.975, 1.0, 1.025, 1.05]) # 状态值
mc = qe.MarkovChain(P, state_values=s)
γ = 2.0
β = 0.94
ζ = 1.0
p_s = 150.0
接下来,我们将创建一个AssetPriceModel实例来输入到这些函数中
apm = AssetPriceModel(β=β, mc=mc, γ=γ, g=lambda x: x)
现在我们只需要对数据调用相关函数:
tree_price(apm)
array([29.47401578, 21.93570661, 17.57142236, 14.72515002, 12.72221763])
consol_price(apm, ζ)
array([753.87100476, 242.55144082, 148.67554548, 109.25108965,
87.56860139])
call_option(apm, ζ, p_s)
array([603.87100476, 176.8393343 , 108.67734499, 80.05179254,
64.30843748])
让我们将最后两个函数绘制成图表
fig, ax = plt.subplots()
ax.plot(s, consol_price(apm, ζ), label='consol')
ax.plot(s, call_option(apm, ζ, p_s), label='call option')
ax.legend()
plt.show()
练习 76.3
让我们考虑有限期限的看涨期权,这比无限期限的更常见。
有限期限期权遵循与(76.18)密切相关的函数方程。
一个k期期权在k期后到期。
如果我们将今天视为日期零,k期期权赋予所有者在日期0、1、…、k-1时以执行价格\(p_S\)行使期权购买无风险永续债的权利。
该期权在时间k到期。
因此,对于k=1,2,…,让w(x,k)表示k期期权的价值。
它遵循
其中对所有x,w(x,0) = 0。
我们可以将其表示为一系列非线性向量方程
编写一个函数来计算任意给定k的\(w_k\)。
使用练习 76.1中的参数值计算k = 5和k = 25时的期权价值。
哪个更高?你能解释其中的原因吗?
解答 练习 76.3
这里是一个合适的函数:
def finite_horizon_call_option(ap, ζ, p_s, k):
"""
计算k期期权价值。
"""
# 简化名称,设置矩阵
β, γ, P, y = ap.β, ap.γ, ap.mc.P, ap.mc.state_values
M = P * ap.g(y)**(- γ)
# 确保存在唯一解
ap.test_stability(M)
# 计算期权价格
p = consol_price(ap, ζ)
w = np.zeros(ap.n)
for i in range(k):
# 在列之间取最大值
w = np.maximum(β * M @ w, p - p_s)
return w
现在让我们计算在k=5和k=25时的期权价值
fig, ax = plt.subplots()
for k in [5, 25]:
w = finite_horizon_call_option(apm, ζ, p_s, k)
ax.plot(s, w, label=rf'$k = {k}$')
ax.legend()
plt.show()
不出所料,具有更大\(k\)值的期权价值更高。
这是因为期权持有人有更长的时间范围来行使期权。